Krause und Pachernegg
Verlag für Medizin und Wirtschaft
Artikel   Bilder   Volltext

Mobile Version
A-  |   A  |   A+
Werbung
 
Abbildungen und Graphiken
Widhalm K et al.  
Effekt des Konsums einer täglichen Fleischmahlzeit (Schneeberg-Beef)

Journal für Ernährungsmedizin 2006; 8 (2): 11-17

Volltext (PDF)    Summary    Abbildungen   


Abbildung
 
Körperfett - Magermasse - TANITA
Abbildung 1: Körperfettgehalt (Fat, %) und Magermasse (Lean, %) der IG aus der Messung mit der TANITA-Segmentanalysenwaage und der DEXA-Messung. Die linken Balken sind jeweils die Ergebnisse vor der Intervention, die rechten Balken nach der Intervention.


Keywords: DiagrammErnährungsmedizinKörperfettTANITA
 
 
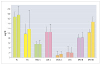
Plasmalipidkonzentration
Abbildung 2: Plasmalipidkonzentrationen der CLA-Gruppe der Voruntersuchung (linke Balken) und der Nachuntersuchung (rechte Balken). Die Angabe der Konzentrationen in mg /dl erfolgt in Mittelwert ± Standardabweichung.


Keywords: CLADiagrammErnährungsmedizinLipideplasma
 
 
 
copyright © 2000–2026 Krause & Pachernegg GmbH | Sitemap | Datenschutz | Impressum
 
Werbung