Mitteilungen der Gesellschaften Journal für Reproduktionsmedizin und Endokrinologie - Journal of Reproductive Medicine and Endocrinology 2013; 10 (3): 181-200 Volltext (PDF) Übersicht | ||
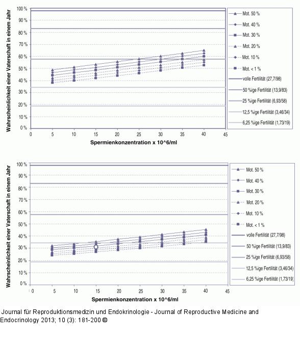
Abbildung 1oben-: Wahrscheinlichkeit-Vaterschaft Nomogramme für die Wahrscheinlichkeit für eine Vaterschaft. Oben: Basisnomogramm für die Wahrscheinlichkeit einer Vaterschaft in einem Jahr in Abhängigkeit von der Spermienkonzentration und der Progressivmotilität (WHO A, 1999) bei einem Samenvolumen ≥ 2,0 ml und einem Anteil von Normalformen ≥ 20 %. (Legende: x % Fertilität [y/z]; y = Wahrscheinlichkeit auf eine Vaterschaft pro Zyklus mit Verkehr in der hochfruchtbaren Zeit in %; z = Wahrscheinlichkeit auf eine Vaterschaft in 12 Zyklen in %). Unten: Nomogramm für die Wahrscheinlichkeit einer Vaterschaft für in einem Jahr in Abhängigkeit von der Spermienkonzentration und der Progressivmotilität bei einem Samenvolumen von 1,5 ml und einem Anteil von Normalformen von 5 %. (Legende: x % Fertilität [y/z]; y = Wahrscheinlichkeit auf eine Vaterschaft pro Zyklus in %; z = Wahrscheinlichkeit auf eine Vaterschaft in einem Jahr in %). Hellgrauer Punkt: Wahrscheinlichkeit für eine fortlaufende Schwangerschaft in einem Jahr nach den neuen, unteren Referenzwerten der WHO 2010 (5 %-Perzentile). |
Abbildung 1oben-: Wahrscheinlichkeit-Vaterschaft
Nomogramme für die Wahrscheinlichkeit für eine Vaterschaft. Oben: Basisnomogramm für die Wahrscheinlichkeit einer Vaterschaft in einem Jahr in Abhängigkeit von der Spermienkonzentration und der Progressivmotilität (WHO A, 1999) bei einem Samenvolumen ≥ 2,0 ml und einem Anteil von Normalformen ≥ 20 %. (Legende: x % Fertilität [y/z]; y = Wahrscheinlichkeit auf eine Vaterschaft pro Zyklus mit Verkehr in der hochfruchtbaren Zeit in %; z = Wahrscheinlichkeit auf eine Vaterschaft in 12 Zyklen in %). Unten: Nomogramm für die Wahrscheinlichkeit einer Vaterschaft für in einem Jahr in Abhängigkeit von der Spermienkonzentration und der Progressivmotilität bei einem Samenvolumen von 1,5 ml und einem Anteil von Normalformen von 5 %. (Legende: x % Fertilität [y/z]; y = Wahrscheinlichkeit auf eine Vaterschaft pro Zyklus in %; z = Wahrscheinlichkeit auf eine Vaterschaft in einem Jahr in %). Hellgrauer Punkt: Wahrscheinlichkeit für eine fortlaufende Schwangerschaft in einem Jahr nach den neuen, unteren Referenzwerten der WHO 2010 (5 %-Perzentile). |
