Jahrestagung der Österreichischen Gesellschaft für Rheumatologie & Rehabilitation 4.–5. Dezember 2014 Abstracts der Posterpräsentationen Journal für Mineralstoffwechsel & Muskuloskelettale Erkrankungen 2014; 21 (4): 126-148 Volltext (PDF) Übersicht | ||||||||||||||||||
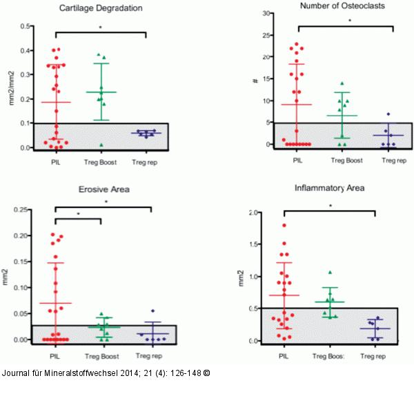
Abbildung 6: Lupus erythematodes Schwarzecker B, et al. Histological parameters of arthritis. |
Abbildung 6: Lupus erythematodes
Schwarzecker B, et al. Histological parameters of arthritis. |
