Krause und Pachernegg
Verlag für Medizin und Wirtschaft
Artikel   Bilder   Volltext

Mobile Version
A-  |   A  |   A+
Werbung
 
Abbildungen und Graphiken
Mayr H et al.  
Versorgungsstrukturen und Qualität der psychiatrischen und psychosomatischen Konsiliar-Liaison- (CL-) Dienste in österreichischen Spitälern

Journal für Neurologie, Neurochirurgie und Psychiatrie 2015; 16 (4): 138-148

Volltext (PDF)    Summary    Praxisrelevanz    Abbildungen   


Abbildung
 
Diagnosen-Verteilungsmuster
Abbildung 1: Welche Diagnosen haben Ihre Patienten in Prozent? F0: organische Störungen, einschließlich symptomatischer psychischer Störungen; F1: psychische Störungen und Verhaltensstörungen durch psychotrope Substanzen; F2: Schizophrenie, schizotype und wahnhafte Störungen; F3: affektive Störungen; F4: neurotische, Belastungs- und somatoforme Störungen; F5: Verhaltensauffälligkeiten in Verbindung mit körperlichen Störungen und Faktoren; F6: Persönlichkeits- und Verhaltensstörungen


Keywords: BundesländerDiagnoseDiagrammICD-10VerteilungsmusterÖsterreich
 
 
Ressourcen-Zuordnung
Abbildung 2: Wem sind die Ressourcen zugeordnet?


Keywords: BundesländerDiagrammKonsiliar-Liaison-DienstRessourcenZuordnungÖsterreich
 
 
Organisationsmodell
Abbildung 3: Nach welchem Modell arbeiten Sie?


Keywords: BundesländerDiagrammKonsiliar-Liaison-DienstOrganisationsmodellÖsterreich
 
 
Fachliche Schwerpunkte
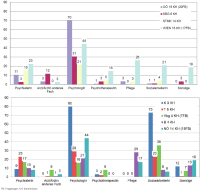
Abbildung 4: Auf welchen Abteilungen erbringen Sie Ihre Leistungen?


Keywords: AbteilungBundesländerDiagrammKonsiliar-Liaison-DienstLeistungÖsterreich
 
 
Ressourcen pro Krankenhausbett
Abbildung 5: Wie viele Ressourcen in Minuten stehen pro Krankenhausbett im jeweiligen Bundesland zur Verfügung?


Keywords: BundesländerDiagrammKonsiliar-Liaison-DienstRessourcenÖsterreich
 
 
Ressourcenverteilung-Berufsgruppen
Abbildung 6: Wie viele Stunden sind für den CL-Dienst gewidmet? Durchschnitt pro Woche, Berufsgruppe und Krankenhaus.


Keywords: BerufsgruppeDiagrammKonsiliar-Liaison-DienstRessourcen
 
 
 
copyright © 2000–2026 Krause & Pachernegg GmbH | Sitemap | Datenschutz | Impressum
 
Werbung